献血年度答卷|感谢每一个勇于伸出臂膀的你
发布时间:2025-12-24
来源:湘潭理工学院
浏览量:607
2025年,是温暖与善意
在校园里静静流淌的一年
我们因爱相聚,以热血传递希望
共同写下一段生命相连的故事
现在,这份由314位爱心师生
共同完成的年度温暖答卷
诚邀你一同翻阅
01 一份由爱与勇气写成的数据
这一年,我们共捐献热血105500毫升
每一次挽袖,都是一份无声的守护
每一滴血液,都承载着一份真挚的祝愿
全年316人次伸出臂膀
其中大数据2403班的谭雪莹、
法学2301班的王楷淅更是两次参与
让这份善意格外绵长
数字背后,是316次坚定的选择
是无数个可能被点亮的希望
更是我们湘理人用行动写下的爱心诗篇
02 四季更迭,爱意不息
这一年
我们共赴四次生命之约
三月春风,献出新年第一份温暖
六月盛夏,热血与阳光一同炽热
十月金秋,在收获季节里播撒关怀
十二月寒冬,用暖意为一岁收官



每一次奔赴,都是对生命的致敬
每一坚守,都让校园更加温暖
感谢每一位传递善意的你——
感谢各学院师生的积极组织与率先参与
感谢所有志愿者的默默付出与真诚陪伴
也感谢不断完善的保障与鼓励
让每一份爱心都能安然落地、顺利传递




03 致敬所有伸出臂膀的你
热血有限,情意无疆
正是你们每一次的挽袖
让春夏秋冬都流淌着温暖
正是你们每一份的勇敢
让这座校园始终洋溢着善意与光芒
爱会延续,故事仍在书写
谨以此文,向所有奉献者致以最诚挚的敬意!
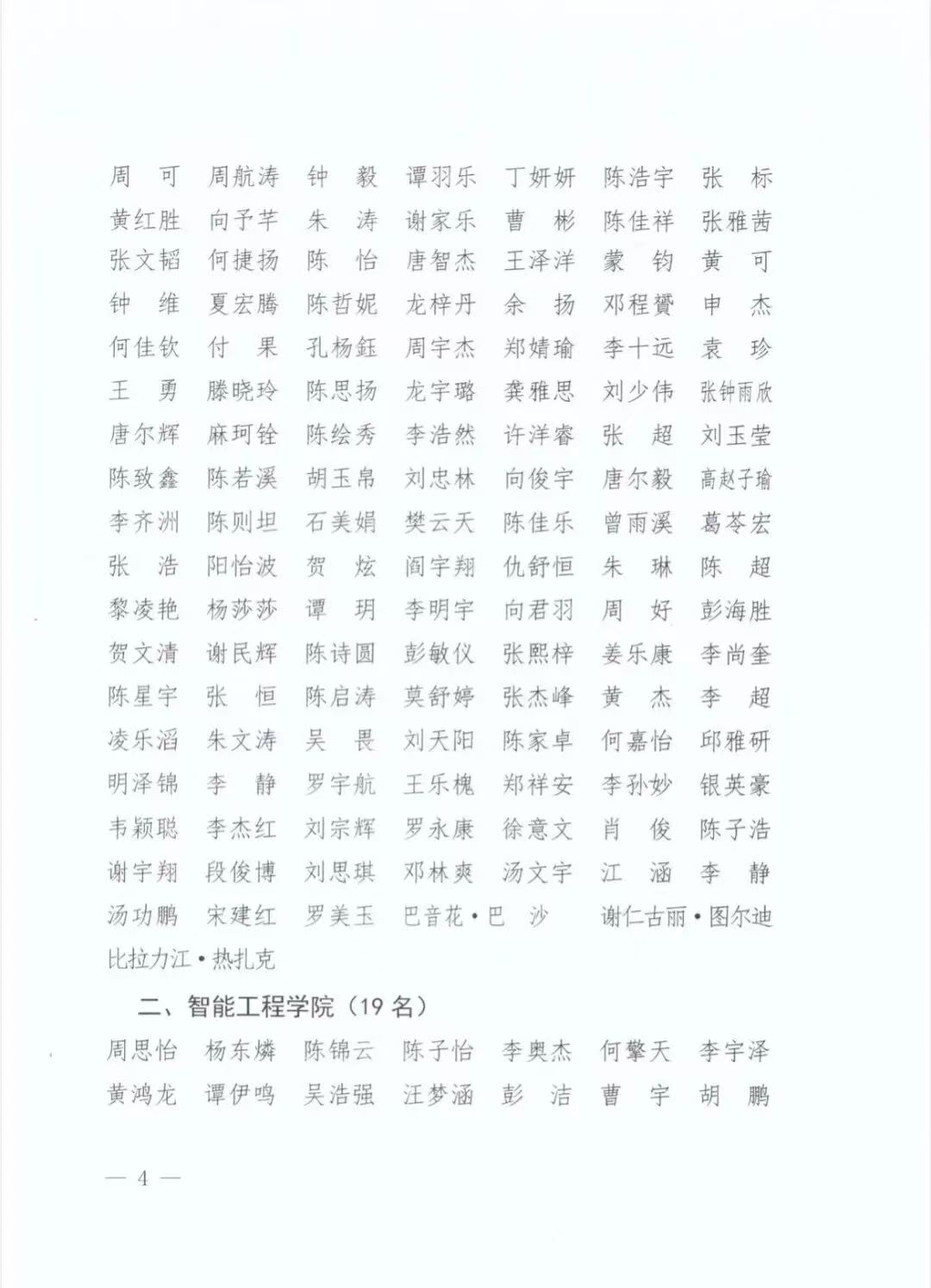
年度献血表彰名单






